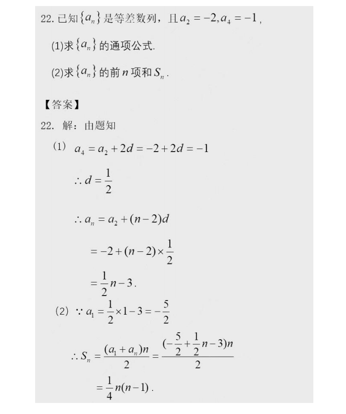
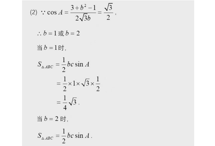
2022年成考考试结束啦!
助学老师整理了10月成考高起专数学答案
看看你的正确率有多高,
废话不多说,赶紧来估分!






成人高考试题以及答案持续更新中……
山东成考手机版
扫码咨询
2022年成考考试结束啦!助学老师整理了10月成考高起专数学答案看看你的正确率有多高,废话不多说,赶紧来估分!
成人高考试题以及答案持续更新中…&
2022年成考考试结束啦!
助学老师整理了10月成考高起专数学答案
看看你的正确率有多高,
废话不多说,赶紧来估分!







扫码咨询

手机站
【原创声明】本文内容为山东成考网原创,任何单位或个人未经本站书面授权不得转载、链接、转贴或以其他方式复制发表。否则,山东成考网将依法追究其法律责任。
距 成考考试剩余
头条推荐 更多
热门推荐
热门问答 更多
必看:22年济南大学成考专升本录取分数线?
2022-11-30
成人学历可以报公务员吗?
2021-06-16
2022山东成人高考可以报医学院吗?(条件是什么?)
2022-08-21
23年想报名成人学历的考生有几种方案?
2022-11-22
初中毕业可以拿本科学历吗?
2022-11-30